Dan cara untuk menemukan hasil integralnya ialah dengan menggunakan rumus integral parsial dan bisa di bilang cukup rumit untuk itu ada cara singkat untuk menyelesaikan soal integral parsial. Soal ditanyakan pada tanggal 03 agustus 2011.
Soal Dan Pembahasan Integral Subsitusi Dan Integral Parsial
Baik sekarang sudah faham semuakan semoga semuanya faham karena matematika itu menarik dan asiik memang si kadang bikin pusing tapi ada tantanganya di situ sekarang kita masuk ke contoh soal integral.
Contoh soal integral parsial akar. Soal integral substitusi bentuk akar kelas xii ipa dari at mettapedia. Misalkan dan maka. Contoh soal integral substitusi dan parsial dan pembahasan contoh soal 1.
Tentukanlah hasil dari. Previous contoh soal pembahasan sifat koligatif bagian ii. Posted in kumpulan soal soal tagged 10 contoh soal integral tak tentu contoh soal integral akar contoh soal integral dan pembahasannya pdf contoh soal integral kalkulus contoh soal integral pecahan contoh soal integral substitusi contoh soal integral tak tentu bentuk akar contoh soal integral tak tentu dari fungsi aljabar.
Contohnya pengurangan dengan penjumlahan perkalian dengan pembagian pemangkatan dengan penarikan akar dan sebagainya. Selanjutnya contoh soal pembahasan penyetaraan redoks bagi. Misal u x 2 dv sin x p dx.
Untuk contoh soal pertama ini kita akan coba bahas dengan dua cara yaitu dengan rumus integral parsial dan dengan tabel. Click to share on facebook opens in new window. Soal integral substitusi bentuk akar kelas xii ipa.
Untuk menggunakan rumus integral parsial. Belajar integral parsial dengan video dan kuis interaktif. Posted august 3 2011 january 31 2015 isra nurhadi.
Contoh soal dan pembahasan integral tak tentu integral tentu kalkulus 2. Integral materi pembahasan kali ini mengenai materi integral besesrta rumus subtitusi parsial tak tentu dan tentu dan contoh soal. Du 2 sin 2x dx.
Dapatkan pelajaran soal rumus integral parsial lengkap di wardaya college. Integral dengan integran dalam bentuk akar diatas dapat dikerjakan dengan memisalkan dari bentuk diatas sebagai berikut. Tags contoh soal pembahasan contoh soal pembahasan matematika.
Download rangkuman contoh soal integral dalam bentuk pdf klik disini. Berikut cara pertama. Setelah sebelumnya contohsoalcoid membahas materi tentang bentuk akaruntuk lebih jelasnya mari simak ulasan yang sudah contohsoalcoid rangkum dibawah ini.
Soal integral yang dapat di selesaikan menggunakan integral pasrsial terbagi menjadi 2 macam 1 sebagai fungsi u dan satunya lagi untuk dv. Pada subbab ini kita akan mempelajari invers dari diferensial yaitu integral.
Contoh Soal Integral Parsial Contoh Soal Pelajaran Anak Sd
Soal Dan Pembahasan Integral Subsitusi Dan Integral Parsial
Soal Dan Pembahasan Integral Subsitusi Dan Integral Parsial
Soal Dan Pembahasan Integral Subsitusi Dan Integral Parsial
Contoh Soal Integral Akar Bentuk Dan Mode Pemasaran
Soal Dan Pembahasan Integral Subsitusi Dan Integral Parsial
Soal Dan Pembahasan Integral Subsitusi Dan Integral Parsial
Soal Dan Pembahasan Integral Subsitusi Dan Integral Parsial
Matematika Sma Integral Parsial
Matematika Sma Integral Parsial
Contoh Soal Integral Tentu Tak Tentu Substitusi Parsial Trigonometri
Integral Parsial Jawaban Bentuk Perkalian Request Pak Erwin Youtube
Integral Parsial X Akar 2x 4 Dx Brainly Co Id
Pelajaran Soal Rumus Integral Parsial Wardaya College
Tutorial Mencari Bentuk Integral Tak Tentu Youtube
Soal Dan Pembahasan Metode Substitusi Integral Fungsi Aljabar 1 5
Matematika Sma Integral Parsial
Integral Parsial Jawaban Sesuai Pilihan Ganda Un Youtube
Contoh Soal Integral Akar Bentuk Dan Mode Pemasaran
Penyelesaian Integral Substitusi Dan Integral Parsial Situs
Rumus Integral Substitusi Dan Rumus Integral Parsial
Rumus Integral Parsial Dan Contoh Soal Beserta Pembahasannya
Integral Substitusi Integral Parsial Materi Rumus Contoh Soal
Soal Dan Pembahasan Integral Metode Substitusi Trigonometri 1 3
Matematika Sma Integral Parsial Teknik Tanzalin
Tutorial Menghitung Integral Tak Tentu 2 Bentuk Pecahan
Contoh Soal Dan Pembahasan Integral Bentuk Pecahan Kalkulus
Contoh Soal Integral Parsial Belajar Sastra Dan Seni
Matematika Sma Integral Parsial Teknik Tanzalin
Contoh Soal Integral Parsial Dan Pembahasannya Pdf Xilusmesh
Rumus Integral Parsial Dan Contoh Soal Beserta Pembahasannya
Prediksi Un Matematika 12ipa 2017 No 25 Integral Parsial Youtube
Integral Substitusi Integral Parsial Materi Rumus Contoh Soal
Pelajaran Soal Rumus Integral Parsial Wardaya College
Contoh Soal Integral Akar Inilah Pengertian Pemasaran Dan
Contoh Soal Integral Parsial Dan Pembahasannya Pdf Xilusnavi
Contoh Soal Dan Pembahasan Integral Bentuk Pecahan Kalkulus
Dengan Menggunakan Integral Parsial Tentukan X 2x 1 3 Dx Brainly
Pengertian Rumus Integral Tentu Dan Tak Tentu Contoh Soal
Integral Parsial Soal Dan Pembahasannya Pendidikan Matematika
Penyelesaian Integral Substitusi Dan Integral Parsial Situs
Rumus Integral Parsial Dan Contoh Soal Beserta Pembahasannya
Soal Dan Pembahasan Integral Subsitusi Dan Integral Parsial
M202 Kalkulus Metode Integral Parsial Youtube
Soal Dan Pembahasan Integral Tertentu Fungsi Trigonometri 1 4
Penyelesaian Integral Substitusi Dan Integral Parsial Situs
Soal Dan Pembahasan Integral Subsitusi Dan Integral Parsial
Integral Fungsi Rasional Parsial Inayah Mathematics Education
Rumus Integral Parsial Dan Contoh Soal Beserta Pembahasannya
Cara Mudah Integral Substitusi Youtube
Integral Parsial Part I Contoh Soal Dan Pembahas Youtube
Contoh Soal Integral Tak Tentu Bentuk Akar Rumusrumus Com
Rumus Integral Substitusi Contoh Soal Beserta Pembahasannya
Langkah Dan Cara Menyelesaikan Integral Dengan Teknik Integral
Contoh Soal Integral Tentu Tak Tentu Substitusi Parsial Trigonometri
Contoh Soal Intergral Dan Pembahasan Pdf Littlepaper
Contoh Soal Dan Pembahasan Integral Lipat 2
Integral Matematika Rumus Pengertian Contoh Soal Dan Pembahasan
Integral Parsial Dari X 2x 4 Dx Brainly Co Id
Integral Parsial Soal Dan Pembahasannya Pendidikan Matematika
Pengertian Rumus Integral Substitusi Integral Parsial
Prediksi Ujian Nasional Matematika Sma 12ipa 2017 No 23 Integral
Pelajaran Soal Rumus Integral Fungsi Pecahan Wardaya College
Rumus Integral Substitusi Dan Rumus Integral Parsial
Integral Trigonometri Contoh Soal Genggam Internet
Contoh Soal Integral Tentu Tak Tentu Substitusi Parsial Trigonometri
Rumus Integral Parsial Dan Contoh Soal Beserta Pembahasannya
Doc Rumus Rumus Integral Kalkulus Ii 1 1 Definisi Integral Tak
Memahami Macam Macam Integral Rumus Matematika
Integral Fungsi Pecahan Fungsi Rasional
Integral 5 12 Cara Parsial Dengan Tabel Youtube
Rumus Integral Trigonometri Rumushitung Com
Kalkulus Contoh Soal Integral Dengan Pemfaktoran Pecahan Youtube
Pelajaran Soal Rumus Integral Substitusi Trigonometri Wardaya
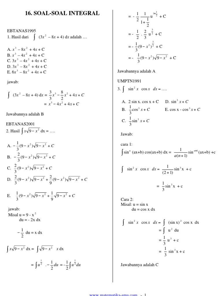
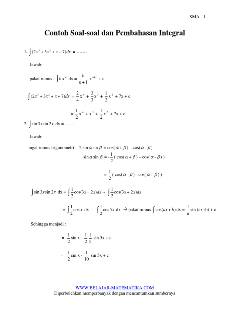
Doc Soal Soal Integral Ayu Puspa Academia Edu
Contoh Soal Integral Parsial Contoh Soal Pelajaran Anak Sd
Penyelesaian Integral Substitusi Dan Integral Parsial Situs
Soal Dan Pembahasan Metode Substitusi Integral Fungsi Aljabar 1 5
Integral Matematika Rumus Pengertian Contoh Soal Dan Pembahasan
Contoh Soal Dan Pembahasan Integral Bentuk Pecahan Kalkulus
Integral Dengan Substitusi Aljabar Kelas Xii
Teknik Pengintegralan Integral Dengan Bentuk Akar Dan Contoh Buku
Rumus Integral Substitusi Dan Rumus Integral Parsial
Rumus Integral Parsial Dan Contoh Soal Beserta Pembahasannya
Contoh Soal Integral Parsial Dan Jawabannya Trigonometri Travelerlinoa
Memahami Macam Macam Integral Rumus Matematika
Integral Parsial Soal Dan Pembahasannya Pendidikan Matematika










EmoticonEmoticon